Lincoln Corsair Manuals

Lincoln Corsair: Identification Codes / Description and Operation - Identification Codes

Vehicle Identification Number (VIN)

VIN Locator

The VIN is a 17-digit combination of letters and numbers. The VIN is stamped on a metal tab riveted to the instrument panel, top upper left of the dash. The VIN is also found on the VC label. If the VIN plate requires replacement, authorized dealers must contact their respective regional office.

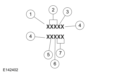
Item Description
1 WMI (World Manufacturer Identifier)
2 Restraint-type and GVW code
3 Vehicle line, series, body-type code
4 Engine-type code
5 Computer-generated check digit
6 Model year code
7 Assembly plant code
8 Production sequence number

World Manufacturer Identifier

The first 3 VIN positions are the WMI (World Manufacturer Identifier).

  • 5LM - Lincoln, USA, MPV (Multi-Purpose Vehicle)

Restraint Type

The fourth VIN position is the vehicle restraint and GVW code.

  • C - 4,001-5,000 lb GVW , active safety belts (all positions), driver and front passenger air bags, side impact inflatable restraints (1st and 2nd row), driver side knee bolster
  • T - 5,001-6,000 lb GVW , active safety belts (all positions), driver and front passenger air bags, side impact inflatable restraints (1st and 2nd row), driver side knee bolster

Vehicle Line, Series and Body Type

Positions 5 through 7 indicate vehicle line, series and body type.

  • J1C - Corsair, FWD , Lincoln Premier
  • J1D - Corsair, AWD , Lincoln Premier
  • J2C - Corsair, FWD , Lincoln Reserve
  • J2D - Corsair, AWD , Lincoln Reserve
  • J5D - Corsair, AWD , Lincoln Reserve Grand Touring PHEV

Engine Type

The eighth VIN position identifies the engine type, displacement and number of cylinders.

  • 9 - 2.0L, 16-valve, GTDI (gasoline turbocharged direct injection), in-line 4-cylinder
  • H - 2.3L, 16-valve, GTDI (gasoline turbocharged direct injection), in-line 4 cylinder
  • Z - 2.5L, I4 (in-line 4-cylinder), HEV

Check Digit

The ninth VIN position is a government-assigned, computer-generated check digit.

  • 0 - 9

Model Year

The tenth VIN position is the model year code.

  • N - 2022

Assembly Plant

The eleventh VIN position is the assembly plant code.

  • U - Louisville Assembly (Louisville, Kentucky)

Production Sequence Number

The last 6 VIN positions are a numeric code for the vehicle build sequence. This is also the vehicle serial and warranty number. The serial number can also be found on the engine block, transmission and frame.

  • J00001 - L99999

VC Codes

VC Label Locator

The VC label contains the manufacturer name, the month and year of manufacture, the certification statement and the VIN . It also includes GVW and tire information. If a vehicle requires replacement of the VC label and is 4 years old or less, an authorized dealer must submit the VIN to their respective regional office. The regional office will submit a web form to the assembly plant for the replacement label. Once the label has been printed, a representative from the regional office will deliver the label to the dealer and witness installation on the vehicle. If a vehicle is more than 4 years old and requires a replacement label, the dealer must submit a request to the Department of Motor Vehicles.

Item Description
1 Exterior paint code
2 Region code
3 DSO (District Special Order) code
4 Wheelbase code
5 Interior trim code
6 Tape/paint stripe code
7 Radio code
8 Axle code
9 Transmission code
10 Spring code
11 Powertrain calibration information

Paint Code

Paint codes may be listed as a 2-part code. The first set of paint code numbers/letters indicate the vehicle primary body color. The second set of letters/numbers (if applicable) indicate a 2-tone or accent body color. All paint codes are a base coat/clear coat finish.

  • AB - Ocean Drive Blue
  • AZ - Star White / Pristine White
  • C8 - Flight Blue
  • D4 - Lucid Red / Red Carpet (tri-coat)
  • EF - Bronze Smoke
  • GP - Elite Blue
  • GS - Ceramic Pearl
  • JS - Iconic Silver/Silver Radiance
  • M7 - Carbonized Gray/Asher Gray
  • UM - Agate Black

Wheelbase

The following identifies the vehicle wheelbase:

  • 107 - 106.7  in ( 2,710  mm) wheelbase

Interior Trim Codes

Interior trim codes are listed as a 2-part code. The first digit listed indicates the seat and fabric style. The second digit listed indicates the interior trim color.

Interior Trim Type

  • E - Premium vinyl seats
  • G - V/L Vinyl w/Micro perforated Venetian leather
  • P - Premium leather with perforated micro leather seats

Interior Trim Color Codes

  • D - Ebony / Cashew
  • E - Ebony
  • N - Sandstone
  • S - Slate

Tape/Paint Stripe Codes

Tape and paint stripe codes do not apply.

Radio Codes

The following lists available radio codes:

  • A - AM / FM stereo, MP3 capable, CD player, SDARS (Satellite Digital Audio Receiver System)
  • C - AM / FM stereo, MP3 capable, CD player, HD (High-Definition), SDARS (Satellite Digital Audio Receiver System)
  • G - AM / FM stereo, Digital A2B (Automobile Audio Bus), ICE Low
  • H - AM / FM stereo, Digital A2B (Automobile Audio Bus), ICE 5th

Axle Type

The following lists the available axle ratios and associated codes:

  • 81 - 3.81 axle ratio
  • 91 - 2.91 axle ratio

Transmission Codes

Available transmissions are as follows:

  • 5 - automatic (H4F45 w/o ODC HEV / PHEV )
  • 8 - 8 - speed automatic (8F35)
  • P - 8 - speed automatic (8F40)

Spring Codes

Spring codes are listed as a 2-part code. The first 2 characters identify the RH and LH front springs. The third and fourth characters identify the RH and LH rear springs.

Front Springs

  • Base part number - 5310

Rear Springs

  • Base part number - 5560

Powertrain Calibration Information

NOTE: Powertrain calibration information is limited to a maximum of 5 characters per line on the VC label. Because of this, calibration identification consisting of more than 5 characters will wrap to the second line on the VC label.

Powertrain calibration information is printed in the lower right corner of the VC label. Only the base calibration information is printed. Revision levels will not appear, however, they can be obtained through a scan tool using the most current software revision.

Item Description
1 Model year (year in which the calibration strategy was first introduced).
2 Vehicle line
3 Transmission code
4 Unique calibrations (designates different hardware to similar vehicles), example: tires or drive ratios
5 Fleet code (describes fleet to which the vehicle belongs), example: 6 - EVAP
6 Certification region (lead region where multiple regions are included in one calibration), example: A - US federal
7 Revision level (will advance as revisions occur), not printed on label but may be obtained through scan tool

Model Year

  • J - 2018
  • K - 2019
  • L - 2020
  • M - 2021
  • N - 2022

Vehicle Code

  • TF - Lincoln Corsair

Transmission Code

  • 2 - Automatic transmission

Unique Calibration

The Emission/Corporate Average Fuel Economy/CO2 Compliance Department is responsible for assigning these calibration numbers. Unique identifications are assigned to cover similar vehicles to differentiate between tires, drive configurations, final drive ratios and other calibration-significant factors. These 2 characters are chosen by the analyst to provide identifiable information unique to each calibration. For example, using the number 2 to denote a 2- valve engine versus using the number 4 to denote a 4-valve engine provides an easily identifiable difference.

Fleet Coding

  • 0 - Certification (U.S. 4K, final sale in export markets)
  • 1 - Heavy duty gas engine/Dyno
  • 2 - Fast Automobile Manufacturers' Association, U.S.
  • 3 - Alternative durability protocol, U.S.
  • 4 - Not assigned
  • 5 - Not assigned
  • 6 - EVAP
  • 7 - Mileage accumulation aging endurance durability
  • 8 - OBD
  • 9 - Not assigned

Certification Region

  • 5 - U.S. 50 states
  • A - U.S. federal, including altitude, may include Canada and/or Mexico
  • B - U.S. California standard, includes U.S. green states
  • C - Canada
  • D - China
  • E - European Community - Austria, Belgium, Denmark, Finland, France, Germany, Greece, Ireland, Italy, Luxembourg, Netherlands, Portugal, Spain, Sweden and UK (United Kingdom)
  • F - EEC (European Extended Community) - E-plus Croatia, Czech Republic, Estonia, Hungary, Norway, Poland, Romania, Russian Federation, Slovakia, Slovenia, Switzerland and Yugoslavia
  • G - GCC (Gulf Cooperative Council) - Bahrain, Kuwait, Oman, Qatar, Saudi Arabia and UAE (United Arab Emirates)
  • H - Hong Kong
  • J - Japan
  • K - Korea
  • L - Malaysia
  • M - Mexico
  • N - New Zealand
  • P - Australia
  • Q - South America (Brazil)
  • S - Singapore
  • T - Taiwan
  • U - South America (unleaded fuel regions)
  • V - Vietnam
  • X - Rest Of World (ROW)
  • Y - Military
  • Z - Israel

Revision Level (not printed on label)

  • 91-99 - Hardware and certification levels
  • 01-04 - Preliminary levels
  • 00 - Job 1 production (initial certification)
  • 05-09 - Pre-job 1 revisions to calibrations
  • 10-89 - Post-job 1 revisions to calibrations
  • 0B - Durability test level
  • BD - OBD intermediate level (pre-05)

    Identification Codes

    ..

    Jacking and Lifting

    ..

    Other information:

    Lincoln Corsair 2020-2025 Service Manual: Removal and Installation - Front Seat Backrest Blower Motor


    Removal NOTE: Driver seat shown, passenger seat similar. Remove the front seat. Refer to: Front Seat (501-10A Front Seats, Removal and Installation). Remove the front seat backrest panel. Refer to: Front Seat Backrest Panel (501-10A Front Seats, Removal and Installation). Disconnect the front seat backrest blower motor electrical connector. Deta..

    Lincoln Corsair 2020-2025 Service Manual: Removal and Installation - Charge Air Cooler (CAC) Intake Pipe


    Special Tool(s) / General Equipment Hose Clamp Remover/Installer Removal NOTICE: During engine repair procedures, cleanliness is extremely important. All parts must be thoroughly cleaned and any foreign material, including any material created while cleaning gasket surfaces, that enters the oil passages, coolant passages or the oil pan, can cause engine failure. NOTICE: Th..

    Categories

    Creating a Vehicle Wi-Fi Hotspot

    You can create a Wi-Fi hotspot in your vehicle and allow devices to connect to it for access to the Internet.

    Lincoln Corsair. Creating a Vehicle Wi-Fi Hotspot Select the settings option on the feature bar.

    Press Lincoln Connect. Press Vehicle Hotspot.

    read more

    Copyright © 2025 www.licorsair.com